一文详解Redis中的持久化
1. 前言
为什么要进行持久化?:持久化功能有效地避免因进程退出造成的数据丢失问题,当下次重启时利用之前持久化的文件即可实现数据恢复。
持久化都有那些方式?:Redis支持RDB和AOF两种持久化机制。
2. RDB
RDB持久化是把当前进程数据生成快照保存到硬盘的过程,触发RDB持久化过程分为手动触发和自动触发。
2.1 手动触发
手动触发分别对应save和bgsave命令:
save命令::阻塞当前Redis服务器,直到RDB过程完成为止,对于内存比较大的实例会造成长时间阻塞,线上环境不建议使用。bgsave命令:Redis进程执行fork操作创建子进程,RDB持久化过程由子进程负责,完成后自动结束。阻塞只发生在fork阶段,一般时间很短。
显然bgsave命令是针对save阻塞问题做的优化。因此Redis内部所有的涉及RDB的操作都采用bgsave的方式,而save命令已经废弃。
2.2 自动触发
- 使用save相关配置,如
save m n。表示m秒内数据集存在n次修改时,自动触发bgsave。 - 如果从节点执行全量复制操作,主节点自动执行bgsave生成RDB文件并发送给从节点。
- 执行debug reload命令重新加载Redis时,也会自动触发save操作。
- 默认情况下执行shutdown命令时,如果没有开启AOF持久化功能则自动执行bgsave。
3. bgsave大致流程

流程说明:
- 执行bgsave命令,Redis父进程判断当前是否存在正在执行的子进程,如RDB/AOF子进程,如果存在bgsave命令直接返回。
- 父进程执行fork操作创建子进程,fork操作过程中父进程会阻塞,通过
info stats命令查看latest_fork_usec选项,可以获取最近一个fork操作的耗时,单位为微秒。 - 父进程fork完成后,bgsave命令返回“Background saving started”信息并不再阻塞父进程,可以继续响应其他命令。
- 子进程创建RDB文件,根据父进程内存生成临时快照文件,完成后对原有文件进行原子替换。执行
lastsave命令可以获取最后一次生成RDB的时间,对应info统计的rdb_last_save_time选项。 - 进程发送信号给父进程表示完成,父进程更新统计信息,具体见info Persistence下的rdb_*相关选项。
关于RDB文件:
- 存储位置:RDB文件保存在dir配置指定的目录下,文件名通过dbfilename配置指定。可以通过执行config set dir{newDir}和config set dbfilename{newFileName}运行期动态执行,当下次运行时RDB文件会保存到新目录。
- 压缩:Redis默认采用LZF算法对生成的RDB文件做压缩处理,压缩后的文件远远小于内存大小,默认开启,可以通过参数config set rdbcompression{yes|no}动态修改。
- 校验:如果Redis加载损坏的RDB文件时拒绝启动,并打印
# Short read or OOM loading DB. Unrecoverable error, aborting now.(可以使用Redis提供的redis-check-dump工具检测RDB文件并获取对应的错误报告)。
4. RDB持久化方式的优缺点
优点:
- RDB是一个紧凑压缩的二进制文件,代表Redis在某个时间点上的数据快照。非常适用于备份,全量复制等场景。比如每6小时执行bgsave备份,并把RDB文件拷贝到远程机器或者文件系统中(如hdfs),用于灾难恢复。(数据紧凑,便于存储)
- Redis加载RDB恢复数据远远快于AOF的方式。(恢复速度快)
缺点:
- RDB方式数据没办法做到实时持久化/秒级持久化。因为bgsave每次运行都要执行fork操作创建子进程,属于重量级操作,频繁执行成本过高。(成本高)
- RDB文件使用特定二进制格式保存,Redis版本演进过程中有多个格式的RDB版本,存在老版本Redis服务无法兼容新版RDB格式的问题。(不兼容)
5. AOF
AOF(append only file)持久化:以独立日志的方式记录每次写命令,重启时再重新执行AOF文件中的命令达到恢复数据的目的。主要作用是解决了数据持久化的实时性。
6. AOF的使用方式
- 开启AOF功能需要设置配置:appendonly yes,默认不开启。
- AOF文件名通过appendfilename配置设置,默认文件名是appendonly.aof。(路径同RDB)
- 主要流程有命令写入(append)、文件同步(sync)、文件重写(rewrite)、重启加载(load)。
7. AOF流程剖析

流程描述:
- 所有的写入命令会追加到aof_buf(缓冲区)中。
- AOF缓冲区根据对应的策略向硬盘做同步操作。
- 随着AOF文件越来越大,需要定期对AOF文件进行重写,达到压缩的目的。
- 当Redis服务器重启时,可以加载AOF文件进行数据恢复。
7.1 命令写入
AOF命令写入的内容直接是文本协议格式。例如set hello world这条命令,在AOF缓冲区会追加如下文本:
为什么使用文本协议格式?
- 文本协议具有很好的兼容性。(兼容性好)
- 开启AOF后,所有写入命令都包含追加操作,直接采用协议格式,避免了二次处理开销。(处理简单)
- 文本协议具有可读性,方便直接修改和处理。(方便修改)
为什么要追加到aof_buf中而不是直接写入硬盘?
- 如果每次写AOF文件命令都直接追加到硬盘,那么Redis的性能就会受到硬盘读写速度的影响,而硬盘的读写速度相对于内存则是数量级上的差距,所以如果每次直接写入硬盘则势必会大幅度影响Redis的运行速度。(影响运行速度)
- 使用缓冲区暂存,Redis还可以提供多种缓冲区同步硬盘的策略,在性能和安全性方面做出平衡。(可以针对具体场景干预刷盘策略,以达到更好的效果)
7.2 文件同步
Redis提供了多种AOF缓冲区同步文件策略,由参数appendfsync控制。

系统调用write和fsync的几点说明:
- write :会触发延迟写(delayed write)机制。Linux在内核提供页缓冲区用来提高硬盘IO性能。write操作在写入系统缓冲区后直接返回。同步硬盘操作依赖于系统调度机制,例如:缓冲区页空间写满或达到特定时间周期。同步文件之前,如果此时系统故障宕机,缓冲区内数据将丢失。(写缓冲,定期由操作系统刷盘)
- fsync :针对单个文件操作(比如AOF文件),做强制硬盘同步,fsync将阻塞直到写入硬盘完成后返回,保证了数据持久化。(立即将缓冲数据刷盘)
策略的几点说明:
- always:每次写入都要同步AOF文件,在一般的SATA硬盘上,Redis只能支持大约几百TPS写入,显然跟Redis高性能特性背道而驰,不建议配置。
- no:由于操作系统每次同步AOF文件的周期不可控,而且会加大每次同步硬盘的数据量,虽然提升了性能,但数据安全性无法保证。
- everysec:是建议的同步策略,也是默认配置,做到兼顾性能和数据安全性。(在系统突然宕机的情况下丢失1~2秒的数据)
7.3 重写机制
为什么要重写?:
- 随着命令不断写入AOF,文件会越来越大。
- 会包含越来越多无用的命令记录。(比如最近一次对一个值的更新操作,那么在此之前记录的更新操作都会作废)
- 更小的AOF文件可以更快地被Redis加载。
怎么重写?:
- AOF文件重写就是把Redis进程内的数据转化为写命令同步到新AOF文件。
重写后那些优化让文件变小了?:
- 进程内已经超时的数据不再写入文件。(去除失效数据)
- 旧的AOF文件含有无效命令,如del key1、hdel key2、srem keys、set a111、set a222等。重写使用进程内数据直接生成,这样新的AOF文件只保留最终数据的写入命令。(去除无用命令)
- 多条写命令可以合并为一个,如:lpush list a、lpush list b、lpush list c可以转化为:lpush list a b c;为了防止单条命令过大造成客户 端缓冲区溢出,对于list、set、hash、zset等类型操作,以64个元素为界拆分为多条。(使用批量命令)
重写有那些触发方式?:
- 手动触发 :直接调用bgrewriteaof命令。
- 自动触发 :根据auto-aof-rewrite-min-size和auto-aof-rewritepercentage参数确定自动触发时机。
- auto-aof-rewrite-min-size:表示运行AOF重写时文件最小体积,默认为64MB。(根据当前文件大小)
- auto-aof-rewrite-percentage:代表当前AOF文件空间(aof_current_size)和上一次重写后AOF文件空间(aof_base_size)的比值。(根据文件大小的增量)
自动触发时机:
aof_current_size 和 aof_base_size 可以在info Persistence统计信息中查看。
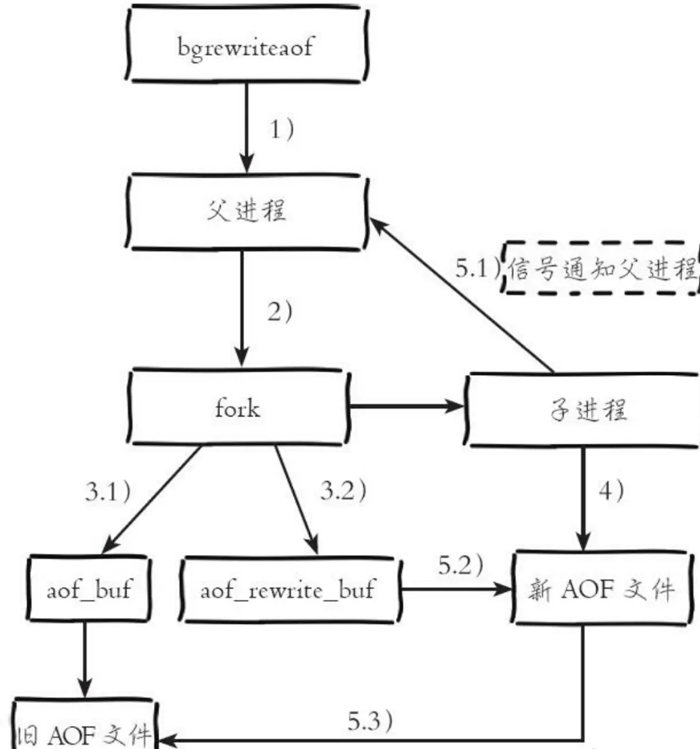
重写流程概述:

流程描述:
-
执行AOF重写请求。
- 如果当前进程正在执行AOF重写,请求不执行并返回
ERR Background append only file rewriting already in progress。 - 如果当前进程正在执行bgsave操作,重写命令延迟到bgsave完成之后再执行,返回
Background append only file rewriting scheduled
- 如果当前进程正在执行AOF重写,请求不执行并返回
- 父进程执行fork创建子进程,开销等同于bgsave过程。
- (1)主进程fork操作完成后,继续响应其他命令。所有修改命令依然写入AOF缓冲区并根据appendfsync策略同步到硬盘,保证原有AOF机制正确性。(2)由于fork操作运用写时复制技术(Copy On Write),子进程只能共享fork操作时的内存数据。由于父进程依然响应命令,Redis使用“AOF重写缓冲区”保存这部分新数据,防止新AOF文件生成期间丢失这部分数据。
- 子进程根据内存快照,按照命令合并规则写入到新的AOF文件。每次批量写入硬盘数据量由配置aof-rewrite-incremental-fsync控制,默认为32MB,防止单次刷盘数据过多造成硬盘阻塞。
- (1)新AOF文件写入完成后,子进程发送信号给父进程,父进程更新统计信息,具体见info persistence的aof_*相关统计。(2)父进程把AOF重写缓冲区的数据写入到新的AOF文件(3)并使用新AOF文件替换老文件,完成AOF重写。
7.4 重启加载

流程描述:
- AOF持久化开启且存在AOF文件时,优先加载AOF文件,并输出
DB loaded from append only file: seconds。 - AOF关闭或者AOF文件不存在时,加载RDB文件,并输出
DB loaded from disk: seconds。 - 加载AOF或RDB文件成功后,Redis启动成功。
- AOF或RDB文件存在错误时,Redis启动失败并打印错误信息。
关于文件校验:
加载损坏的AOF文件时会拒绝启动,并会输出:
对于错误格式的AOF文件:先进行备份,然后采用redis-check-aof –fix命令进行修复,修复后使用diff-u对比数据的差异,找出丢失的数据,有些可以人工修改补全。
对于AOF文件结尾不完整:比如机器突然掉电导致AOF尾部文件命令写入不全。Redis为我们提供了aof-load-truncated配置来兼容这种情况,默认开启。加载AOF时,当遇到此问题时会忽略并继续启动,同时打印如下警告日志:
# !!! Truncating the AOF at offset 397856725 !!!
# AOF loaded anyway because aof-load-truncated is enabled
8. 问题定位与优化
8.1 关于fork操作
当Redis做RDB或AOF重写时,一个必不可少的操作就是执行fork操作创建子进程,对于大多数操作系统来说fork是个重量级操作虽然fork创建的子进程不需要拷贝父进程的物理内存空间,但是会复制父进程的空间内存页表,因此fork操作耗时跟进程总内存量息息相关。可以在info stats统计中查latest_fork_usec指标获取最近一次fork操作耗时,单位微秒。
减少fork耗时的措施:
- 优先使用物理机或者高效支持fork操作的虚拟化技术,避免使用Xen。
- 控制Redis实例最大可用内存,fork耗时跟内存量成正比,线上建议每个Redis实例内存控制在10GB以内。
- 合理配置Linux内存分配策略,避免物理内存不足导致fork失败。
- 降低fork操作的频率,如适度放宽AOF自动触发时机,避免不必要的全量复制等。
8.2 关于子进程开销
CPU:
- 分析:子进程负责把进程内的数据分批写入文件,这个过程属于CPU密集操作,通常子进程对单核CPU利用率接近90%。
- 优化:
- Redis是CPU密集型服务,不要做绑定单核CPU操作。由于子进程非常消耗CPU,会和父进程产生单核资源竞争。
- 不要和其他CPU密集型服务部署在一起,造成CPU过度竞争。
- 如果部署多个Redis实例,尽量保证同一时刻只有一个子进程执行重写工作。
内存:
- 分析:得益于Linux的写时复制机制(copy on write),父子进程会共享相同的物理内存页,当父进程处理写请求时会把要修改的页创建副本,而子进程在fork操作过程中共享整个父进程内存快照。(重写时共享同一份物理内存区域,内存主要开销在于 拷贝的页表 和 应用 copy on write 时某些页的拷贝 以及在进行AOF重写所使用的 aof_rewrite_buf占用的大小 )
- 优化:
- 如果部署多个Redis实例,尽量保证同一时刻只有一个子进程在工作。
- 避免在大量写入时做子进程重写操作,这样将导致父进程维护大量页副本,造成内存消耗。
- Linux kernel在2.6.38内核增加了Transparent Huge Pages(THP),支持huge page(2MB)的页分配,默认开启。当开启时可以降低fork创 建子进程的速度,但执行fork之后,如果开启THP,复制页单位从原来4KB变为2MB,会大幅增加重写期间父进程内存消耗。
硬盘:
- 分析:子进程主要职责是把AOF或者RDB文件写入硬盘持久化,所以在执行重写的时候势必会增加硬盘的写入压力。根据Redis重写AOF或RDB的数据量,结合系统工具如sar、iostat、iotop等,可分析出重写期间硬盘负载情况。
- 优化:
- 不要和其他高硬盘负载的服务部署在一起。如:存储服务、消息队列服务等。
- AOF重写时会消耗大量硬盘IO,可以开启配置no-appendfsyncon-rewrite,默认关闭。表示在AOF重写期间不做fsync操作,注意!配置no-appendfsync-on-rewrite=yes时,在极端情况下可能丢失整个AOF重写期间的数据,需要根据数据安全性决定是否配置。
- 当开启AOF功能的Redis用于高流量写入场景时,Redis的性能会受到硬盘写入性能的影响。
- 对于单机配置多个Redis实例的情况,可以配置不同实例分盘存储AOF文件,分摊硬盘写入压力。
8.3 关于AOF追加阻塞
描述:当开启AOF持久化时,常用的同步硬盘的策略是everysec,用于平衡性能和数据安全性。对于这种方式,Redis使用另一条线程每秒执行fsync同步硬盘。当系统硬盘资源繁忙时,会造成Redis主线程阻塞。
问题定位:
- 发生AOF阻塞时,Redis输出日志,用于记录AOF fsync阻塞导致拖慢Redis服务的行为:
Asynchronous AOF fsync is taking too long (disk is busy). Writing the AOF buffer without waiting for fsync to complete, this may slow down Redi - 每当发生AOF追加阻塞事件发生时,在info Persistence统计中,aof_delayed_fsync指标会累加,查看这个指标方便定位AOF阻塞问题。
- AOF同步最多允许2秒的延迟,当延迟发生时说明硬盘存在高负载问题。

流程概述:
- 主线程负责写入AOF缓冲区。
- AOF线程负责每秒执行一次同步磁盘操作,并记录最近一次同步时间。
- 主线程负责对比上次AOF同步时间:
- 如果距上次同步成功时间在2秒内,主线程直接返回。
- 如果距上次同步成功时间超过2秒,主线程将会阻塞,直到同步操作完成。
也就是说:
- everysec配置最多可能丢失2秒数据,不是1秒。
- 如果系统fsync缓慢,将会导致Redis主线程阻塞影响效率。
到此这篇关于一文详解Redis中的持久化的文章就介绍到这了,更多相关Redis持久化内容请搜索以前的文章或继续浏览下面的相关文章希望大家以后多多支持!