postgresql中的ltree类型使用方法
postgresql有很多比较妖的数据类型,ltree算一个。
简介
ltree是Postgresql的一个扩展类型 http://www.sai.msu.su/~megera…,在解决树形结构的数据存储上使用。
查看是否安装了插件
select * from pg_extension where extname = 'ltree';

定义
字段的格式为:L1.L2.L3.L4.L5.L6…..
标签是一系列字母数字字符和下划线A-Za-z0-9_, 标签长度必须小于256个字节。标签路径是由点分隔的零个或多个标签的序列,例如L1.L2.L3,表示从分层树的根到特定节点的路径。 标签路径的长度必须小于65Kb,但最好保持在2Kb以下。
查询
创建临时表:
create table tmp.ltree_table(name varchar, path ltree);
写入测试数据
insert into tmp.ltree_table values (‘小明’,’北京.东城.小明’);
insert into tmp.ltree_table values (‘小刚’,’北京.西城.小刚’);
insert into tmp.ltree_table values (‘小红’,’北京.南城.小红’);
insert into tmp.ltree_table values (‘小小明’,’北京.东城.小明.小小明’);
insert into tmp.ltree_table values (‘小明明’,’北京.东城.小明.小明明’);
insert into tmp.ltree_table values (‘小小红’,’北京.东城.小红.小小红’);
insert into tmp.ltree_table values (‘小红红’,’北京.东城.小红.小红红’);
查询写入的数据
小明 | 北京.东城.小明
小刚 | 北京.西城.小刚
小红 | 北京.南城.小红
小小明 | 北京.东城.小明.小小明
小明明 | 北京.东城.小明.小明明
小小红 | 北京.南城.小红.小小红
小红红 | 北京.南城.小红.小红红
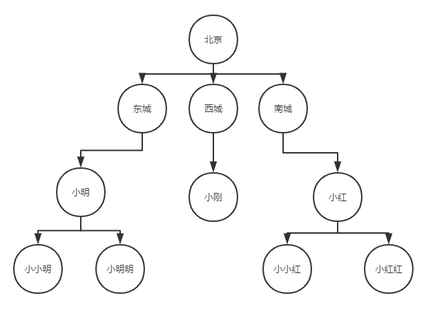
结构树如下:

查询所有的人和他的孩子的对应关系:
select c.name, s.name from tmp.ltree_table s join (select path ,name from tmp.ltree_table ) c on s.path <@ c.path and s.name <> c.name;
小明 | 小小明
小明 | 小明明
小红 | 小小红
小红 | 小红红
查询覆盖的所有的区域:
select subltree(path,1,2) from tmp.ltree_table;
东城
西城
南城
东城
东城
南城
南城
查询所有南城的人:
select distinct s.name from tmp.ltree_table s where subltree(s.path,1,2) = ‘南城’;
小小红
小红红
小红
查询路径长度:
select s.name,nlevel(s.path) from tmp.ltree_table s;
小明 | 3
小刚 | 3
小红 | 3
小小明 | 4
小明明 | 4
小小红 | 4
小红红 | 4
总结
本篇文章到此结束,如果您有相关技术方面疑问可以联系我们技术人员远程解决,感谢大家支持本站!