PostgreSQL 教你Visual Studio Code(VS Code)如何查询PostgreSQL拓展安装教程图解 1.打开VS Code拓展,搜索postgresql,这时就可以看到在线的支持postgresql的插件,这里我选择的第一个插件(下载量最多的); 2.安装postgresql插件,安装完成之后,在左侧就可以看到插件图标; 3.点击插件,输入连接地址、用户...
PostgreSQL Postgresql数据库基础 之 创建和修改序列的操作 创建序列 (从1开始,递增幅度1,最大值无上限): create sequence fl_user_seq increment by 1 minvalue 1 no maxvalue start with 1; 更改序列值 (方法中两个参数分别是1.序列名...
MySQL Linux系统环境下如何安装MySQL数据库 1.概述 对于mysql二进制安装,优点是可以安装到任何路径下,灵活性好,一台服务器可以安装多个mysql。缺点是已经编译过,性能不如源码编译得好,不能灵活定制编译参数。如果用户即不想安装最简单却不够灵活的RPM包,又不想安装复杂费时的源码包,那么已编译好...
MySQL SQL开发知识:一条慢SQL语句引发的改造之路 前言 闲鱼服务端在做数据库查询时,对每一条SQL都需要仔细优化,尽可能使延时更低,带给用户更好的体验。但是在生产中偶尔会有一些情况怎么优化都无法满足业务场景。本文通过对一条慢SQL的真实改造,介绍解决复杂查询的一种思路,以及如何使得一条平均RT接近2s的S...
PostgreSQL postgresql 如何实现将字段为空的值替换为指定值的方法 1、null 表示缺失的值, ” ” “表示空值 null 参与的表达式运算都返回null 使用is null 判断是null is not null 判断非null 2、nullif(value1, value2) 如...
MySQL SQL开发知识:MySQL分区之LIST分区详解 介绍 LIST分区和RANGE分区非常的相似,主要区别在于LIST是枚举值列表的集合,RANGE是连续的区间值的集合。二者在语法方面非常的相似。同样建议LIST分区列是非null列,否则插入null值如果枚举列表里面不存在null值会插入失败,这点和其它的...
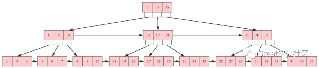
MySQL 性能优化:MySQL B+树索引与哈希索引详解 索引介绍 索引是一种特殊的数据库结构,被设计用来快速查询数据库表中的特定记录。索引有多种类型,就像字典有拼音查找和偏旁查找一样都是为了提高检索效率。MySQL中最常见的索引类型有B+树索引 和 哈希索引,下面来简单介绍一下这两种索引类型...
PostgreSQL PostgreSQL数据库如何向数据库表中添加行数据 实例: 例如数据库中有一个2013Rainfall数据表 想在下面接着插入一行数据,在pgAmin III 界面中,点击SQL,并其界面下输入, 如下图所示 并运行,同时刷新编辑数据界面,可看到数据插入成功, 如下图所示 补充:postgresql向表中插...
PostgreSQL PostgreSQL 数据库基础 如何修改视图的操作 最近发现PostgreSQL(create or replace) 修改视图有很多的限制,不像SQL Server和Oracle那样可以随意修改。 错误提示 修改视图原有字段 ERROR: cannot change name of view column...
PostgreSQL postgreSQL数据库基础 之 内连接和外连接实现操作 测试数据: city表: create table city(id int,name text); insert into city values(0,’北京’),(1,’西安’),(2,’天津&...
MySQL SQL开发知识:MySQL限制查询和数据排序方法 一、限制查询 我们通过limit可以限制返回结果的行数 select * from 表名 limit count; select * from users limit 3; 1.指定从第几行起,返回多少行 select * from 表名 limit st...
MySQL SQL开发知识:MySQL分区表管理命令汇总 五、新增和删除分区 前言: 分区是一种表的设计模式,正确的分区可以极大地提升数据库的查询效率,完成更高质量的SQL编程。但是如果错误地使用分区,那么分区可能带来毁灭性的的结果。 分区功能并不是在存储引擎层完成的,因此不只有InnoDB存储引擎支持分区,常见...