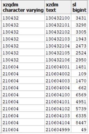
PostgreSQL postgresql 实现取出分组中最大的几条数据 看代码吧~ WITH Name AS ( SELECT * FROM ( SELECT xzqdm, SUBSTRING (zldwdm, 1, 9) xzdm, COUNT (*) sl FROM sddltb_qc WHERE xzqdm IN (...
PostgreSQL PostgreSQL12.5中分区表的一些操作实例 1、创建一个有DEFAULT的分区表 1、先创建主表 create table tbl_log ( id serial, create_time timestamp(0) without time zone, remark char(1) ) PARTIT...
MySQL mysql远程跨库联合查询的示例 情况一2个库在同一台物理主机 情况二2个库不在同一台物理主机(即2个库分别在不同的物理主机) 注意:myemployees库和shoppingCart库在同一台物理主机,如果不在同一台物理主机该怎么办呢?下面我会介绍到。 情况一2个库在同一台物理主机 联合...
MySQL 使用xshell实现代理功能并navicat for MySQL 进行测试 一、首先新建会话 二、创建隧道 三、测试 在开发过程中,难免会遇到内网开发的情况,但是又没有vpn。 其实SSH连接工具xshell就可以实现简单的代理功能 一、首先新建会话 连接远程服务器: 二、创建隧道 源主机就是本机,监听端口就是本机的端口...
PostgreSQL 基于PostgreSQL和mysql数据类型对比兼容 1、数值类型 整数: mysql中的整数类型和pg相比,两者有以下区别: mysql:mysql中支持int 1,2,3,4,8 字节,同时支持有符号,无符号。并且mysql中支持在数值列中指定zerofill,用来将存储的数值通过填充0的方式达到指定数据...
PostgreSQL Linux CentOS 7安装PostgreSQL9.3图文教程 如题,本篇blog记录一下在Linux CentOS 7中安装PostgresSQL的整个过程以及数据库配置等,在Linux系统中,PostgreSQL的安装方式分两种,分别是: 1、二进制安装包安装 2、源码编译安装 由于我们没有什么特殊需求所在在此选择...
PostgreSQL PostgresSql 多表关联删除语句的操作 最近用PostgresSql数据库进行多表关联删除的操作,在写sql语句的时候遇到了问题: DELETE s.* FROM student s,classroom c WHERE s.cid = c.id AND s.sid = 1 DELETE FROM...
PostgreSQL postgresql运维之远程迁移操作 背景:高可用架构版本。 主备分别部署在机器A和B上,现在要将其分别迁移到机器C和D上。 思路: 1、首先根据源实例的备份(云盘上可用snapshot),创建一个mirror实例,mirror包含两个节点,分别部署在C和D上。 2、在源实例主节点hba.co...
PostgreSQL pgsql 如何删除仍有活动链接的数据库 删除数据库的命令: drop database if exists testdb; 但是这个命令可能会报错: 类似于: database “” is being accessed by other users. DETAIL: Th...
PostgreSQL postgresql 实现查询某时间区间的所有日期案例 核心sql如下: select daytime::date from generate_series( (‘2017-06-01’),–查询开始日期(可根据需求调整) (select now()::date),̵...
PostgreSQL PostgreSQL用户、数据库及表的管理、操作与授权方式 摘要 PostgreSQL的常用命令 1、登录数据库 /* 切换到数据库用户 */ su – postgres /* 登录 */ psql 登录成功显示如下: bash-4.2$ psql psql (9.3.17) Type “h...
PostgreSQL CentOS中运行PostgreSQL需要修改的内核参数及配置脚本分享 PostgreSQL在CentOS上部署的时候,需要设置一些操作系统的参数,官方文档上列举了一些(传送门)。除了这些,还有一些其他的设置,如单个用户允许的最大进程数,单个进程的最大句柄数等,这些一般也需要调整,否则系统会在一些条件下出现问题,或者性能下降。...